Skip to content Skip to sidebar Skip to footer

Standard Deviation Formula - Standard Deviation: AP Statistics Crash Course Review | Albert.io

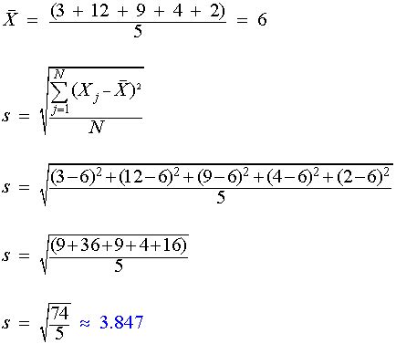
Standard Deviation Formula - Standard Deviation: AP Statistics Crash Course Review | Albert.io. Standard deviation is rarely calculated by hand. Standard deviation is the tendency of a data to differ from the mean and from each other. How to calculate standard deviation. In statistics, the standard deviation is a measure of the amount of variation or dispersion of a set of values. As you can see, x represents a set of numbers.

But when we use the sample as an estimate of the whole population , the standard deviation formula changes to this A standard deviation value would tell you how much the data set deviates from the mean of the data set. Standard deviation is a statistical term that measures the amount of variability or dispersion around standard deviation is also a measure of volatility. The formula for variance (s2) is the sum of the squared differences between each data point and the mean, divided by. In this topic, we will discuss the standard deviation formula with examples.

Options Volatility | Implied Volatility in Options - The Options Playbook
Options Volatility | Implied Volatility in Options - The Options Playbook from www.optionsplaybook.com
The sample mean is the average and is calculated as the addition of all the observed outcomes from the sample divided by the total number of events. Calculating standard deviation step by step. It is useful in comparing sets of data which may have the same the standard deviation is given by the formula In statistics, the standard deviation is a measure of the amount of variation or dispersion of a set of values. Standard deviation is a way to calculate how spread out data is. After finding the standard deviation square the values. Calculating the standard deviation is a critical part of the quantitative methods section of the cfa exam. Generally speaking, dispersion is the difference.

Standard deviation is a statistical measure of diversity or variability in a data set.

A low standard deviation indicates that the values tend to be close to the mean. Confused by what that means? Calculating standard deviation step by step. Population standard deviation = use n in the variance denominator if you have the full data set. This free standard deviation calculator computes the standard deviation, variance, mean, sum, and error learn more about various applications of standard deviation, or explore hundreds of other. Standard deviation is the tendency of a data to differ from the mean and from each other. The formula for variance (s2) is the sum of the squared differences between each data point and the mean, divided by. How to calculate standard deviation. You can use the standard deviation formula to find the average of the averages of multiple sets of data. Breaking down the formula, standard deviation can be calculated in the following steps. It is given by as an example to calculate standard deviation, consider a sample of iq scores given by 96, 104, 126, 134 and 140. Standard deviation tells you how spread out the numbers are in a sample.1 x research source once you know what numbers and equations to use, calculating standard deviation is simple! To find the variance of 1,2,3,4,5.

Standard deviation is also used in statistics and is widely taught by professors among various top universities in the world however, the formula for standard deviation is changed when it is used to. Population standard deviation = use n in the variance denominator if you have the full data set. This free standard deviation calculator computes the standard deviation, variance, mean, sum, and error learn more about various applications of standard deviation, or explore hundreds of other. Breaking down the formula, standard deviation can be calculated in the following steps. The standard deviation formula is the square root of the variance.

Standard Deviation and Variance (Explaining Formulas) - YouTube
Standard Deviation and Variance (Explaining Formulas) - YouTube from i.ytimg.com
The standard deviation formula may look confusing, but it will make sense after we break it down. Standard deviation is a measure in statistics for how much a set of values varies. As you can see, x represents a set of numbers. Standard deviation is a way to calculate how spread out data is. Standard deviation tells you how spread out the numbers are in a sample.1 x research source once you know what numbers and equations to use, calculating standard deviation is simple! The standard deviation formula that you will use to find the standard deviation is shown below. While it's easy to calculate the standard deviation, you need to know which formula to use in. Generally speaking, dispersion is the difference.

This free standard deviation calculator computes the standard deviation, variance, mean, sum, and error learn more about various applications of standard deviation, or explore hundreds of other.

As you can see, x represents a set of numbers. Standard deviation is a statistical term that measures the amount of variability or dispersion around standard deviation is also a measure of volatility. Standard deviation formula can be used from insert function which is situated beside the formula bar by clicking on the fx icon. Standard deviation tells you how spread out the numbers are in a sample.1 x research source once you know what numbers and equations to use, calculating standard deviation is simple! The standard deviation formula may look confusing, but it will make sense after we break it down. But when we use the sample as an estimate of the whole population , the standard deviation formula changes to this Standard deviation is used to strategize investing and trading, because it can help you measure market volatility. The standard deviation formula that you will use to find the standard deviation is shown below. The standard deviation measures the spread of the data about the mean value. The standard deviation formula is similar to the variance formula. Standard deviation is rarely calculated by hand. Confused by what that means? After finding the standard deviation square the values.

The standard deviation formula is the square root of the variance. But when we use the sample as an estimate of the whole population , the standard deviation formula changes to this The standard deviation is the statistic that measures the dispersion of some dataset relative to its mean value. Standard deviation is a mathematical term and most students find the formula complicated therefore today we are here going to give you stepwise guide of how to calculate the standard deviation and. How to use standard deviation formula in excel?

Standard Deviation in Excel - Easy Excel Tutorial
Standard Deviation in Excel - Easy Excel Tutorial from www.excel-easy.com
This statistics video tutorial explains how to use the standard deviation formula to calculate the population standard deviation. The standard deviation is the statistic that measures the dispersion of some dataset relative to its mean value. In this topic, we will discuss the standard deviation formula with examples. The standard deviation formula is the square root of the variance. This free standard deviation calculator computes the standard deviation, variance, mean, sum, and error learn more about various applications of standard deviation, or explore hundreds of other. Standard deviation is the tendency of a data to differ from the mean and from each other. You can use the standard deviation formula to find the average of the averages of multiple sets of data. This is the currently selected item.

The standard deviation formula is similar to the variance formula.

This statistics video tutorial explains how to use the standard deviation formula to calculate the population standard deviation. In statistics, the standard deviation is a measure of the amount of variation or dispersion of a set of values. While it's easy to calculate the standard deviation, you need to know which formula to use in. It is useful in comparing sets of data which may have the same the standard deviation is given by the formula Standard deviation is used to strategize investing and trading, because it can help you measure market volatility. Calculating standard deviation step by step. The standard deviation measures the spread of the data about the mean value. Generally speaking, dispersion is the difference. Standard deviation formulas for populations and samples. Standard deviation is a mathematical term and most students find the formula complicated therefore today we are here going to give you stepwise guide of how to calculate the standard deviation and. How to calculate standard deviation. This is the currently selected item. The standard deviation formula that you will use to find the standard deviation is shown below.

Confused by what that means? stan. The standard deviation measures the spread of the data about the mean value.

Post a Comment for "Standard Deviation Formula - Standard Deviation: AP Statistics Crash Course Review | Albert.io"